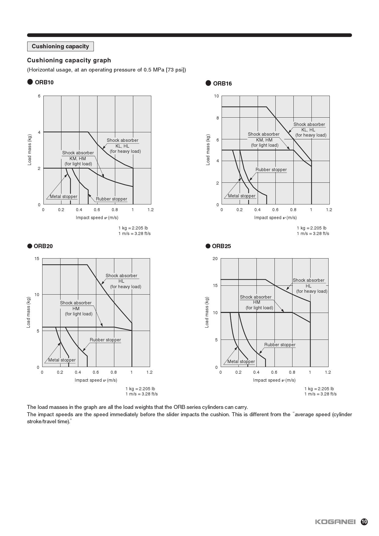
Though absorbers (KL), rubber stoppers (RS), and metal stoppers (MS) are shipped as attached items, drawings show them as installed. Because of this, select operations for a total of two shock absorbers and rubber stoppers that can actually be equipped and download CAD.